Bez użycia specjalistycznej aparatury badawczej można zaobserwować różne zmiany, np. niszczenie tynków zewnętrznych, wewnętrznych powłok malarskich czy uszkodzenia elementów wyposażenia (np. balustrady). Bardzo częste jest występowanie uszkodzeń w pokryciu dachowym, równie powszechne są awarie instalacji. Oznacza to, że podmioty odpowiedzialne za utrzymanie obiektu budowlanego powinny w odpowiedni sposób dbać o stan techniczny i estetyczny budynków, tak aby nie stanowiły one zagrożenia dla ich użytkowników, a także nie traciły na wartości. Konieczne jest regularne przeprowadzanie czynności konserwacyjnych oraz wykonywanie szeroko rozumianych napraw w ramach remontów. Należy jednak pamiętać, że w celu utrzymania wartości rynkowej obiektu niejednokrotnie niezbędne będzie przeprowadzenie odpowiednich robót budowlanych w ramach modernizacji czy renowacji. Takie przedsięwzięcia będą wymagały szczegółowego zaplanowania pod kątem określenia zakresu robót na obiekcie budowlanym oraz – w przypadku bardziej skomplikowanej inwestycji, opracowania odpowiedniej dokumentacji technicznej i, jeśli będą wymagały tego odpowiednie regulacje prawne, przeprowadzenia stosownej procedury administracyjnej.
REKLAMA
Tab. 1. Orientacyjne projektowe okresy użytkowania wg normy PN-EN 1990
|
Kategoria projektowego okresu użytkowania |
Orientacyjny projektowy okres użytkowania (lata) |
Przykłady |
|
1 |
10 |
Konstrukcje tymczasowe1 |
|
2 |
od 10 do 25 |
Wymienialne części konstrukcji, np. belki podsuwnicowe, łożyska |
|
3 |
od 15 do 30 |
Konstrukcje rolnicze i podobne |
|
4 |
50 |
Konstrukcje budynków i inne konstrukcje zwykłe |
|
5 |
100 |
Konstrukcje budynków monumentalnych, mosty i inne konstrukcje inżynierskie |
|
1 Zaleca się, aby konstrukcji lub części konstrukcji, które mogą być demontowane w celu ponownego zmontowania, nie uważać za konstrukcje tymczasowe. |
||
W dalszej części opracowania omówione zostaną ogólne kwestie związane z zagadnieniem zużycia obiektu budowlanego oraz poszczególne rodzaje robót budowlanych, które mają za zadanie zniwelować skutki upływu czasu i działania czynników destrukcyjnych na budynek.
Pojęcie zużycia obiektu budowlanego
Co do zasady każdy rodzaj obiektu budowlanego ma określony orientacyjny okres jego użytkowania. Zestawienie takich okresów eksploatacyjnych zostało przedstawione w polskiej normie PN-EN 1990 Eurokod. Podstawy projektowania konstrukcji w punkcie 2.3.
Obowiązkiem właściciela lub zarządcy obiektu budowlanego jest zapewnienie, aby ten okres użytkowania został zachowany. Oznacza to, że te osoby muszą mieć na uwadze fakt, że budynek w trakcie jego eksploatacji podlega procesom, które powodują jego degradację. Determinuje to spadek jego wartości użytkowej, a w konsekwencji i rynkowej. Ten naturalny proces niszczenia substancji budowlanej związany z upływem czasu i wpływem czynników zewnętrznych zwany jest zużyciem technicznym obiektu budowlanego.
Szybkość postępowania stopnia zużycia obiektu budowlanego będzie przede wszystkim zależała od jego trwałości. To właśnie trwałość obiektu ma zapewnić układowi konstrukcyjnemu budynku stosowny okres użytkowania, czyli przedział czasu, w którym konstrukcja lub jej część ma być użytkowana zgodnie z zamierzonym przeznaczeniem i przewidywanym utrzymaniem, bez potrzeby dużych napraw. Norma PN-EN 1990 wskazuje, że dla zapewnienia stosownej trwałości obiektowi budowlanemu należy przy projektowaniu wziąć pod uwagę:
- zamierzone lub przewidywane użytkowanie konstrukcji,
- wymagane kryteria projektowe,
- oczekiwane warunki środowiskowe,
- skład, właściwości i zachowanie się materiałów i wyrobów,
- właściwości gruntu,
- rodzaj ustroju konstrukcyjnego,
- kształt elementów i szczegóły konstrukcyjne,
- jakość wykonania i poziom kontroli,
- szczególne środki zabezpieczające,
- zamierzone utrzymanie w projektowym okresie użytkowania.
Co istotne, należy szczególnie precyzyjnie określić warunki środowiskowe, aby można było ocenić ich znaczenie z uwagi na trwałość i podjąć odpowiednie środki w celu ochrony materiałów stosowanych w konstrukcji.
Tab. 2. Systematyzacja form zużycia obiektu budowlanego.
|
ZUŻYCIE OBIEKTU BUDOWLANEGO |
||||
|
Zużycie ekonomiczne |
||||
|
Zużycie techniczne (fizyczne, materialne) |
|
Zużycie społeczne (niematerialne) |
||
|
↓ |
↓ |
|||
|
Zużycie normalne |
Zużycie moralne |
|||
|
→ |
wpływ czasu |
wzrost wymagań |
← |
|
|
→ |
wpływ czynników atmosferycznych |
podwyższenie się stopy życiowej |
← |
|
|
↓ |
zmiana stylu życia |
← |
||
|
↓ |
||||
|
Zużycie środowiskowe |
Zużycie funkcjonalne |
|||
|
→ |
wpływ czynników biologicznych (np. pleśń, gryzonie, korzenie drzew) |
celowa zmiana funkcji |
← |
|
|
→ |
wpływ czynników chemicznych (np. kwaśne deszcze, dym, spaliny) |
losowa zmiana funkcji |
← |
|
|
→ |
wpływ uciążliwego sąsiedztwa (np. autostrada, linie kolejowe) |
|
||
|
↓ |
||||
|
Zużycie przyspieszone |
||||
|
→ |
błędy projektowe |
|||
|
→ |
błędy wykonawcze |
|||
|
→ |
nieprawidłowa eksploatacja |
|||
|
→ |
nieprawidłowe utrzymanie |
|||
|
↓ |
||||
|
Zużycie nagłe |
||||
|
→ |
niszczące czynniki losowe (np. pożar) |
|||
|
→ |
awarie |
|||
|
→ |
katastrofy budowlane |
|||
Biorąc pod uwagę wszystkie te zależności można niewątpliwie stwierdzić, że określenie stopnia zużycia obiektu budowlanego nie będzie prostym procesem. Dla jego oszacowania należy wziąć pod uwagę zarówno przewidywaną trwałość konstrukcji, jak i wszystkie czynniki oddziałujące na obiekt pod względem fizycznym i niematerialnym. Z biegiem czasu także zastosowane w obiekcie rozwiązania projektowe, nawet najbardziej nowoczesne, w coraz mniejszym stopniu będą odpowiadały wymaganiom kolejnych użytkowników.
W literaturze branżowej można znaleźć podział form zużycia obiektów budowlanych ze względu na działanie czynników mających wpływ fizyczny na budynek, jak i czynników niefizycznych.
Przy ocenie stopnia zużycia obiektu budowlanego nie bez znaczenia pozostaje fakt, że budynki są wznoszone z różnego rodzaju materiałów budowlanych, z których każdy będzie miał inną odporność na działanie czynników zewnętrznych. Elementy konstrukcyjne, stanowiące części złożonego systemu, jakim niewątpliwie jest budynek, powinny cechować się największą wytrzymałością i trwałością. Poszczególne części budynku mają za zadanie zapewnić bezpieczeństwo i stabilność obiektu przez cały okres jego użytkowania. Układ nośny co do zasady powinien funkcjonować w sposób prawidłowy i bezawaryjny. Nie powinno być więc zaskoczeniem, iż mniej restrykcyjne wymagania co do trwałości będą stawiane elementom wykończenia oraz wyposażenia. Wynika to z faktu, że w trakcie eksploatacji są często poddawane konserwacji i wymieniane. Niematerialny stopień zużycia jest uznaniowy i nie jest jednoznacznie mierzalny. Tym samym można go określić, stosując jedynie indywidualne kryteria. Natomiast ustalenie technicznego stopnia zużycia budynku jest możliwe dzięki opracowaniu kilku metod obliczeniowych.
Określenie stopnia zużycia technicznego obiektu budowlanego
Metody określania stopnia zużycia technicznego obiektu budowlanego podzielone zostały na metody czasowe i wizualne. W grupie czasowych sposobów obliczeniowych jednymi z najpopularniejszych będą:
- metoda proporcjonalności:
Sz = (t / T) * 100%; - metoda Rossa:
Sz = (t2 / T2) * 100%; - metoda Ungera i Eytelweina:
Sz = [t (t + T) / 2T2] * 100%
gdzie:
Sz – stopień zużycia technicznego obiektu budowlanego wyrażony w procentach,
t – dotychczasowy okres eksploatacji obiektu budowlanego w latach,
T – przewidywany całkowity okres trwałości obiektu budowlanego w latach.
Liniowa metoda proporcjonalności jest wykorzystywana do obliczeń w przypadku budynków, w stosunku do których prowadzona była nieodpowiednia gospodarka remontowa. Natomiast nieliniowe metody Rossa oraz Ungera i Eytelweina wykorzystuje się w przypadku budynków odpowiednio o wzorowej i należytej gospodarce remontowej.
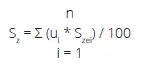
Z kolei szczegółowa metoda wizualna, czyli tzw. średniej ważonej polega na indywidualnym oszacowaniu stopnia zużycia poszczególnych elementów obiektu budowlanego i dalej, po przydzieleniu im odpowiednich wag, wyznaczeniu ważonego stopnia zużycia całego obiektu budowlanego:
![]()
gdzie:
Sz – stopień zużycia całego obiektu budowlanego,
ui – procentowy udział kosztu odtworzenia danego elementu w strukturze kosztu odtworzenia całego obiektu budowlanego, pełniący funkcję wagi,
n – liczba ocenianych elementów w obiekcie budowlanym.
Słabym punktem stosowania metody średniej ważonej jest to, że sposób ten może być wykorzystywany jedynie przez osoby dysponujące odpowiednią wiedzą i doświadczeniem oraz jest pracochłonny ze względu na konieczność długotrwałego opracowywania danych niezbędnych do zindywidualizowanego oszacowania stopnia zużycia zróżnicowanych części składowych obiektu budowlanego. Sposób ten charakteryzuje się jednak dużą precyzją i jest dokładniejszą metodą oceny stopnia zużycia obiektu budowlanego niż te polegające jedynie na ogólnym okresie eksploatacji i przewidywanym okresie trwałości obiektu budowlanego traktowanego jako jednorodna całość.
Dzięki obliczeniu stopnia zużycia obiektu budowlanego Sz możliwe jest procentowe określenie, w jakim stanie technicznym St znajduje się dany obiekt budowlany:
![]()
gdzie:
St – stan techniczny obiektu budowlanego wyrażony w procentach,
Sz – stopień zużycia obiektu budowlanego wyrażony w procentach.
Przy zastosowaniu tej metody określania stanu technicznego obiektu budowlanego należy przyjąć odpowiednie zakresy procentowe, dla których obiekt będzie w bardzo dobrym do złym stanie technicznym. Zestawienie takie prezentuje tabela nr 3.
Tab. 3. Procentowe określanie stanu technicznego a charakterystyczne cechy obiektu budowlanego i jego elementów składowych
|
Klasyfikacja stanu technicznego |
Stan techniczny [%] |
Charakterystyczne cechy obiektu budowlanego i jego elementów
|
|
bardzo dobry |
100 ÷ 85 |
Elementy budynku są dobrze utrzymane, nie wykazują zużycia i uszkodzeń |
|
zadowalający |
84 ÷ 70 |
Elementy budynku utrzymane w należytym stanie technicznym. Celowa jest bieżąca konserwacja |
|
średni |
69 ÷ 50 |
W elementach budynku występują niewielkie uszkodzenia i ubytki, niezagrażające bezpieczeństwu ludzi lub mienia. Celowa jest naprawa bieżąca. |
|
zły |
49 ÷ 30 |
W elementach budynku występują znaczne uszkodzenia lub ubytki. Wymagana naprawa główna |
|
awaryjny |
29 ÷ 0 |
W elementach budynku występują tak duże uszkodzenia lub ubytki, że grozi on zawaleniem. Obiekt nie nadaje się do użytkowania. |
W sytuacji gdy przy zastosowaniu jednej wybranej metody obliczeniowej określony został stopień zużycia technicznego obiektu budowlanego, zasadne jest także przeprowadzenie analizy jego zużycia niematerialnego. Mając kompleksową wiedzę na temat niezbędnych zmian w budynku, osoby odpowiedzialne powinny pochylić się nad opracowaniem planu właściwych robót budowlanych dobranych tak, by po ich wykonaniu budynek spełniał oczekiwania zarówno pod względem technicznym, jak i eksploatacyjnym.
Definicje remontu, modernizacji i renowacji
Ustawa Prawo budowlane1 określa jak należy rozumieć poszczególne rodzaje robót budowlanych. Zgodnie z definicjami umieszczonymi w słowniczku ustawy w art. 3 (pkt 6 i 7) roboty budowlane to budowa, a także prace polegające na przebudowie, montażu, remoncie lub rozbiórce obiektu budowlanego, gdzie jako budowę należy rozumieć wykonywanie obiektu budowlanego w określonym miejscu, a także odbudowę, rozbudowę, nadbudowę obiektu budowlanego. Oznacza to, że wśród robót budowlanych, których celem jest ograniczenie skutków zużycia technicznego, Prawo budowlane wskazuje wprost jedynie remont. W art. 3 pkt 8 ustawy remontem nazywane jest „wykonywanie w istniejącym obiekcie budowlanym robót budowlanych polegających na odtworzeniu stanu pierwotnego, a niestanowiących bieżącej konserwacji, przy czym dopuszcza się stosowanie wyrobów budowlanych innych, niż użyto w stanie pierwotnym”. W ustawie nie zdefiniowano już pojęcia bieżącej konserwacji, stąd należy sięgnąć do aktów wykonawczych. Bardziej szczegółowo o remoncie i bieżącej konserwacji regulacje prawne traktują w § 7 ust. 2 rozporządzenia w sprawie warunków technicznych użytkowania budynków mieszkalnych2. Tam wskazane są trzy kategorie robót o charakterze naprawczym:
- roboty konserwacyjne – zgodnie z definicją zawartą w § 3 pkt 4 ww. rozporządzenia polegają na wykonywaniu robót mających na celu utrzymanie sprawności technicznej elementów budynku (np. malowanie klatki schodowej),
- naprawy bieżące – § 3 pkt 3 – to okresowe remonty elementów budynku, mające na celu zapobieganie skutkom zużycia tych elementów i utrzymanie budynku we właściwym stanie technicznym (np. wymiana skorodowanej rury kanalizacyjnej),
- naprawy główne – § 3 pkt 2 – czyli remonty polegające na wymianie co najmniej jednego elementu budynku (np. remont konstrukcji stropu).
Natomiast ani ustawa Prawo budowlane, ani żadne rozporządzenie do tej ustawy nie precyzuje, czym są modernizacja i renowacja. Z praktyki inżynierskiej wynika, że obydwa pojęcia oznaczają takie działania, które mają na celu ulepszenie i odnowienie obiektu budowanego. Pogląd taki jest także prezentowany przez Głównego Inspektora Nadzoru Budowlanego w stanowisku opublikowanym na stronie internetowej Głównego Urzędu Nadzoru Budowlanego www.gunb.gov.pl
w dniu 2 marca 2006 r. w sprawie pojęcia „modernizacja”. Zgodnie z tym stanowiskiem modernizacja może być remontem, przebudową (zgodnie z Prawem budowlanym przebudowa to wykonywanie robót budowlanych, w wyniku których następuje zmiana parametrów użytkowych lub technicznych istniejącego obiektu budowlanego, z wyjątkiem charakterystycznych parametrów, jak kubatura, powierzchnia zabudowy, wysokość, długość, szerokość bądź liczba kondygnacji; w przypadku dróg są dopuszczalne zmiany charakterystycznych parametrów w zakresie niewymagającym zmiany granic pasa drogowego – art. 3 pkt 7a) lub rozbudową. Przy czym w specjalistycznej literaturze branżowej przyjęto, że modernizacja jest pojęciem szerszym niż renowacja. Renowacja będzie traktowana jako forma kompleksowego remontu całego obiektu. Modernizacja z kolei będzie miała za zadanie podwyższyć jakość użytkowania obiektu budowlanego poprzez zastosowanie nowych rozwiązań technicznych i materiałowych, nowoczesnych urządzeń oraz wyposażenia.
Szczegółowe określenie zakresu robót budowlanych
Precyzyjne określenie koniecznego do wykonania obszaru robót budowlanych powinno mieć swoje odzwierciedlenie w dokumentacji technicznej budynku. Zgodnie z zapisami ustawy Prawo budowlane właściciele i zarządcy mają obowiązek dokonywać systematycznego sprawdzenia stanu technicznego budynku, instalacji i urządzeń . Ustawą uzupełniającą zakres niezbędnych przeglądów technicznych jest ustawa o charakterystyce energetycznej budynków3.
Poniżej zamieszczono tabelę systematyzującą wszystkie powinności właściciela lub zarządcy w zakresie kontroli stanu technicznego obiektu budowlanego po ostatniej nowelizacji prawo budowlane.
Natomiast ustawa o charakterystyce energetycznej budynków nałożyła na podmioty odpowiedzialne za obiekt budowlany obowiązek przeprowadzania kontroli systemów ogrzewania i klimatyzacji, aby zapewnić prawidłowe funkcjonowanie tych systemów.
Zgodnie z art. 23 ustawy osoby odpowiedzialne za budynek, czyli właściciel lub zarządca, poddają budynki w czasie ich użytkowania okresowej kontroli w zakresie systemu ogrzewania lub systemu klimatyzacji, polegającej na:
- sprawdzeniu stanu technicznego systemu ogrzewania, z uwzględnieniem efektywności energetycznej źródeł ciepła oraz dostosowania ich mocy do potrzeb użytkowych:
- co najmniej raz na 5 lat – dla kotłów o nominalnej mocy cieplnej od 20 kW do 100 kW,
- co najmniej raz na 2 lata – dla kotłów opalanych paliwem ciekłym lub stałym o nominalnej mocy cieplnej większej niż 100 kW,
- co najmniej raz na 4 lata – dla kotłów opalanych gazem o nominalnej mocy cieplnej większej niż 100 kW,
- co najmniej raz na 3 lata – dla źródeł ciepła niewymienionych wyżej, dostępnych części systemu ogrzewania lub połączonego systemu ogrzewania i wentylacji, o sumarycznej nominalnej mocy cieplnej większej niż 70 kW,
- ocenie efektywności energetycznej, co najmniej raz na 5 lat:
- dostępnych części systemu klimatyzacji o nominalnej mocy chłodniczej większej niż 12 kW,
- połączonego systemu klimatyzacji i wentylacji o sumarycznej nominalnej mocy chłodniczej większej niż 70 kW.
Trzeba w tym miejscu podkreślić, że z punktu widzenia oddziaływania tych systemów na środowisko ich przeglądy obejmują ocenę sprawności i doboru wielkości źródła ciepła do wymogów grzewczych budynku oraz zdolności systemu ogrzewania do optymalizacji działania. Co istotne, w ustawie wskazano, że nie będzie obowiązku przeprowadzania ponownej kontroli w zakresie oceny doboru wielkości źródła ciepła, w przypadku gdy od czasu wykonania tego rodzaju kontroli nie dokonano zmian w systemie ogrzewania lub połączonym systemie ogrzewania i wentylacji lub zmian w charakterystyce energetycznej budynku. W przypadku systemów klimatyzacji sprawdzenie obejmuje ocenę sprawności tego systemu i doboru jego wielkości do wymogów chłodzenia budynku oraz zdolności systemu klimatyzacji do optymalizacji działania w typowych warunkach jego użytkowania lub eksploatacji. Podobnie jak w przypadku systemów ogrzewania, nie dokonuje się ponownej kontroli w zakresie oceny doboru wielkości systemu klimatyzacji, jeżeli od czasu przeprowadzenia takiej kontroli nie dokonano zmian w systemie klimatyzacji lub połączonym systemie klimatyzacji i wentylacji lub zmian w charakterystyce energetycznej budynku.
Wszystkie wyżej wymienione kontrole i sprawdzenia techniczne muszą być wykonywane przez specjalistów posiadających odpowiednie uprawnienia budowlane lub kwalifikacje zawodowe.
Osoba, która wykonała czynności sprawdzające, kończy je sporządzeniem protokołu pokontrolnego. Jego treść jest dla osób odpowiedzialnych za obiekt bardzo istotna, ponieważ na bazie wytycznych w nim zawartych będzie tworzony plan i harmonogram robót remontowych oraz naprawczych, a sam protokół może być bazą pod rozważenie możliwości modernizacji lub renowacji. W protokole powinny zostać zawarte informacje o stanie technicznym i zużyciu poszczególnych elementów. Bardzo ważną częścią protokołu są zalecenia pokontrolne, które powinny zostać wymienione zgodnie ze stopniami pilności ich wykonania, z określeniem terminu. Ogólnie przyjętą i najczęściej stosowaną gradacją stopni pilności jest skala od I do IV.
Tab. 4. Obligatoryjne przeglądy techniczne z uwzględnieniem ich częstotliwości – zarówno stanu technicznego obiektu, jak i jego wyposażenia instalacyjnego – którym powinien być poddawany obiekt budowlany w trakcie eksploatacji, zgodnie z poszczególnymi regulacjami ustawy Prawo budowlane.
|
Przeglądy wpisywane do książki obiektu budowlanego |
|
|
Podstawa prawna |
Rodzaj przeglądu |
|
art. 62 ust. 1 pkt 1 lit. a, ust. Pb. |
Kontrola okresowa elementów budynku, budowli i instalacji narażonych na szkodliwe wpływy atmosferyczne i niszczące działania czynników występujących podczas użytkowania obiektu przeprowadzana raz na rok. |
|
art. 62 ust. 1 pkt 1 lit. b, ust. Pb. |
Kontrola okresowa stanu technicznego instalacji i urządzeń służących ochronie środowiska, dokonywana raz na rok. |
|
art. 62 ust. 1 pkt 1 lit. C, ust. Pb. |
Przegląd techniczny, okresowy instalacji gazowej oraz przewodów kominowych (dymowych, spalinowych i wentylacyjnych) przeprowadzany raz na rok. |
|
art. 62 ust. 1 pkt 2, ust. Pb. |
Okresowe sprawdzenie stanu technicznego i przydatności do użytkowania obiektu budowlanego, estetyki obiektu budowlanego oraz jego otoczenia przeprowadzane raz na 5 lat. |
|
art. 62 ust. 1 pkt 2, ust. Pb. |
Kontrola okresowa polegająca na badaniu instalacji elektrycznej i piorunochronnej w zakresie stanu sprawności połączeń, osprzętu, zabezpieczeń i środków ochrony od porażeń, oporności izolacji przewodów oraz uziemień instalacji i aparatów, która jest przeprowadzana raz na 5 lat. |
|
art. 62 ust. 1 pkt 3 w związku z art. 62 ust. 1 pkt 1 ust. Pb. |
Techniczne kontrole okresowe wymienione w podpunktach 1, 2, 3 przeprowadzane dla budynków o powierzchni zabudowy przekraczającej 2000 m2 oraz innych obiektów budowlanych o powierzchni dachu przekraczającej 1000 m2, przeprowadzane dwa razy w roku w terminach do 30 listopada i 31 maja. |
|
art. 62 ust. 1 pkt 3 w powiązaniu z art. 61 pkt 2 ust. Pb. |
Kontrola stanu technicznego uszkodzonych elementów i instalacji obiektu budowlanego, przeprowadzana każdorazowo w razie wystąpienia niszczących czynników zewnętrznych. |
|
art. 62 ust. 1 pkt 4a, ust. Pb. |
Przeglądy elementów i instalacji obiektu budowlanego, w których występują nieuzasadnione względami technicznymi lub użytkowymi ingerencje lub naruszenia, zgłoszone przez osoby zamieszkujące lokal mieszkalny znajdujący się w obiekcie budowlanym (traktowane jako dodatkowa kontrola ogólna obiektu), przeprowadzana każdorazowo (w terminie 3 dni od otrzymania zgłoszenia o ingerencji lub naruszeniu). |
|
art. 62 ust. 3 w odniesieniu do dyspozycji art. 62 ust. 1, ust. Pb. |
Kontrola stanu technicznego, w zakresie określonym w postanowieniu wydanym przez organ nadzoru budowlanego na podstawie art. 62 ust. 3 ustawy (jest ono wydawane w razie stwierdzenia nieodpowiedniego stanu technicznego obiektu budowlanego lub jego części, mogącego spowodować zagrożenie życia lub zdrowia ludzi, bezpieczeństwa mienia bądź środowiska). |
Stopnie pilności wykonania poszczególnych robót remontowych i naprawczych (od najpilniejszych) prezentuje się następująco:
- I stopień pilności – wykonać bezzwłocznie,
- II stopień pilności – wykonać w trybie pilnym,
- III stopień pilności – wykonać bez zbędnej zwłoki,
- IV stopień pilności – wykonać w ramach planowanych robót remontowych.
Można również spotkać się z nieco innym stopniowaniem pilności, gdzie już podane zostały terminy wykonania poszczególnych robót, np.
- I stopień pilności – wykonać w trybie natychmiastowym,
- II stopień pilności – wykonać do roku,
- III stopień pilności – wykonać do dwóch lat,
- IV stopień pilności – wykonać do pięciu lat.
Po otrzymaniu protokołu pokontrolnego właściciel lub zarządca obiektu budowlanego powinien mieć przygotowane konkretne założenia do sporządzenia harmonogramu prac remontowych i konserwacyjnych, które należy przeprowadzić zgodnie ze stopniami pilności. Oczywiście w pierwszej kolejności i bezzwłocznie należy wykonać wszystkie zalecenia związane z występowaniem jakiegokolwiek stanu zagrożenia bezpieczeństwa – czyli dotyczy to robót remontowych i naprawczych opatrzonych I stopniem pilności. Poniżej przedstawiony został przykładowy protokół przeglądu pięcioletniego, zgodny z ustawą Prawo budowlane.
Po zebraniu kompletnych informacji dotyczących stanu technicznego obiektu budowlanego, w tym także dotyczących braków czy niedogodności związanych z jego eksploatacją (protokoły kontroli, uwagi zebrane od użytkowników budynku), należy przystąpić do sporządzenia zestawienia koniecznych do przeprowadzenia robót budowlanych, w tym tych, które mogą zostać ujęte w planie inwestycyjnym dla danego obiektu w ramach planowanych w dalszej perspektywie modernizacji lub renowacji.
Na podstawie takiego zestawienia właściciel lub zarządca powinien sporządzić plan robót budowlanych zgodnie z przyporządkowanym im w protokole kontroli stopniem pilności i ewentualnie możliwościami finansowymi (jeśli nie były one ujęte w protokole jako niezbędne). Warto wspomnieć, iż planowaniu podlegają również roboty polegające na usunięciu usterek i awarii zgłoszonych przez użytkowników budynku, które zostały potwierdzone i wcześniej zweryfikowane. Plan robót remontowych może być sporządzony w dowolnej formie.
Protokół z kontroli ogólnobudowlanej wykonywanej raz na pięć lat
|
Protokół Nr 10/2023 z dnia 04.05.2023 r. z okresowej (pięcioletniej) kontroli stanu technicznego i przydatności do użytkowania obiektu budowlanego.
Budynek będący własnością Pani Gabrieli Iksińskiej oraz Pana Tomasza Iksińskiego położonym w Przykładowie przy ul. Dowolnej nr 17
Dane charakteryzujące obiekt:
|
||||
|
Lp. |
Wyszczególnienie elementów obiektu |
Stan techniczny (dobry, średni, mierny, zły, awaryjny) |
Zalecenia + Stopień pilności z terminem wykonania |
|
|
1. |
2. |
3. |
4. |
|
|
I |
OCENA STANU TECHNICZNEGO ELEMENTÓW KONSTRUKCJI |
|||
|
1. |
Konstrukcja dachu |
Średni / 40 |
Wymiana części konstrukcji / III |
|
|
2. |
Ściany nośne |
Zadowalający / 25 |
Uzupełnienie drobnych ubytków tynków na klatce schodowej / II |
|
|
3. |
Stropy ( w tym płyty balkonowe ) |
Średni / 45 |
Wymiana części konstrukcji / III |
|
|
4. |
Wieńce, nadproża |
Zadowalający / 25 |
Przemurowanie nadproża nad wejściem do lokalu nr 2 / II |
|
|
5. |
Konstrukcja schodów |
Średni / 45 |
Wymiana części stopnic / III |
|
|
6. |
Ściany fundamentowe |
Zadowalający / 25 |
Zawilgocone – do osuszenia / IV |
|
|
7. |
Fundamenty |
Zadowalający / 25 |
Zawilgocone – do osuszenia / IV |
|
|
II |
OCENA SPRAWNOŚCI TECH. ELEM. BUDYNKU (BUDOWLI) I INSTALACJI |
|||
|
1. |
Pokrycie dachowe |
Średni / 50 |
Uzupełnienie ubytków / I |
|
|
2. |
Obróbki blacharskie, rynny, rury spustowe |
Średni / 50 |
Wymiana rynny na zachodniej części elewacji oraz rury spustowej w północno-zachodnim narożniku / I |
|
|
3. |
Kominy, nasady kominowe, ławy kominiarskie |
Średni / 50 |
Uzupełnienie ubytków / I |
|
|
4. |
Urządzenia zamontowane na dachu i ścianach |
Zadowalający / 20 |
Przeprowadzenie konserwacji / III |
|
|
5. |
Elewacja (gzymsy, filary, balkony, tynki, okładziny zewnętrzne) |
Zadowalający / 25 |
Uzupełnienie drobnych ubytków tynków / II |
|
|
10. |
Instalacja wody użytkowej |
Brak |
Zalecana termomodernizacja |
|
|
11. |
Elementy instalacji kanalizacyjnej odprowadzającej ścieki z budynku |
Zadowalający / 25 |
Uzupełnienie drobnych ubytków tynków / II |
|
|
12. |
Przejścia przyłączy instalacyjnych przez ściany budynku |
Zadowalający / 20 |
Przeprowadzenie konserwacji / III |
|
|
15. |
Instalacja centralnego ogrzewania |
Zadowalający / 20 |
Przeprowadzenie konserwacji / III |
|
|
16. |
Zabezpieczenie przeciwpożarowe - sygnalizacja alarmowa - podręczny sprzęt ppoż. - inne |
Zadowalający / 20 |
Przeprowadzenie konserwacji / III |
|
|
III |
DOKUMENTACJA |
|||
|
1. |
- budowlana - dokumenty budowy - książki obiektów bud. |
Bez uwag |
Bez uwag |
|
|
Zalecenia niewykonane od poprzedniej kontroli: Wymiana rynny na zachodniej części elewacji oraz rury spustowej w północno-zachodnim narożniku
|
||||
|
ZALECENIA: Roboty remontowe i naprawcze konieczne do wykonania (od najpilniejszych): Zastosowane terminy:
W planie robót remontowych należy ująć w najbliższej przyszłości, w miarę możliwości finansowych, modernizację polegającą na ociepleniu budynku, w tym wymianie stolarki okiennej i balkonowej. Ponadto ze względu na zawilgocenie ścian piwnicznych przed wykonaniem termomodernizacji należy wykonać osuszenie fundamentów i ścian fundamentowych wraz z wykonaniem hydroizolacji iniekcyjnej.
Metody i środki użytkowania elementów kontrolowanego obiektu budowlanego narażonych na szkodliwe działanie wpływów atmosferycznych i niszczące działanie innych czynników, w przypadku kontroli tych elementów:
OBIEKT NADAJE SIE DO UŻYTKOWANIA: TAK/ *) niepotrzebne skreślić Kontrolę przeprowadził: Mgr inż. Sebastian Różny Miejscowość, data: Przykładowo, 04.05.2023 r. Dokonujący kontroli (imię, nazwisko, pieczątka, podpis) : mgr inż. Sebastian Różny XYZ/ABC/0000/2010 uprawnienia budowlane w specjalności konstrukcyjno – budowlanej do kierowania robotami budowlanymi i projektowania SR Załączniki: 1. Dokumentacja fotograficzna. 2. Szkice piwnic. 3. Szkice konstrukcji dachowej. 4. Szkic elewacji zachodniej.
W czynnościach kontrolnych uczestniczyli (komisja w składzie): 1.Mgr inż. Sebastian Różny – osoba dokonująca kontroli i sporządzająca protokół pokontrolny: SR 2. Pani Gabriela Iksińska – współwłaścicielka budynku: GI 3. Pan Tomasz Iksiński – współwłaściciel i zarządca budynku: TI |
||||
Procedury administracyjne dla robót remontowych, renowacji i modernizacji
Podobnie jak ma to miejsce przy realizacji każdej inwestycji budowlanej, przy planowaniu robót remontowych oraz modernizacji i renowacji, osoby odpowiedzialne za obiekt budowlany powinny przeprowadzić analizę, czy ich działania nie będą wymagały zgłoszenia właściwemu organowi administracji architektoniczno-budowlanej lub w szczególnych przypadkach – uzyskania decyzji o pozwoleniu na budowę i uruchomienia trybu związanego z procesem budowlanym. Katalog robót budowlanych, które na mocy ustawy zwolnione zostały z obowiązku uzyskania pozwolenia na budowę, zawarty został w regulacji art. 29 ust. 3 i 4 ustawy Prawo budowlane.
Tabela 5. prezentuje zestawienie robót budowlanych, których wykonywanie nie wiąże się z obligatoryjnym uzyskaniem decyzji o pozwoleniu na budowę. Zamieszczono w niej również uwagi dotyczące ewentualnych szczególnych przypadków.
Tab. 5. Zestawienie robót budowlanych, dla których prowadzenia nie jest wymagane uzyskanie pozwolenia na budowę
|
Lp. |
Roboty budowlane, dla których prowadzenia nie jest wymagane uzyskanie pozwolenia na budowę |
Obowiązek zgłoszenia |
Uwagi |
|
1. |
przebudowa przegród zewnętrznych oraz elementów konstrukcyjnych budynków mieszkalnych jednorodzinnych, o ile nie prowadzi ona do zwiększenia obszaru oddziaływania obiektu poza działkę, na której budynek jest usytuowany |
TAK |
z projektem |
|
2. |
przebudowa polegająca na dociepleniu budynków o wysokości powyżej 12 m i nie wyższych niż 25 m |
TAK |
dla budynków o wysokości 25 m i więcej – istnieje obowiązek uzyskania pozwolenia na budowę |
|
3. |
remont budowli i remont budynków (w zakresie przegród zewnętrznych albo elementów konstrukcyjnych) |
TAK |
dotyczy remontu budowli i budynków, których budowa wymaga uzyskania pozwolenia na budowę |
|
4. |
instalowanie krat na budynkach mieszkalnych wielorodzinnych, użyteczności publicznej i zamieszkania zbiorowego |
TAK |
|
|
5. |
instalowanie wewnątrz i na zewnątrz użytkowanego budynku instalacji gazowych |
TAK |
z projektem |
|
6. |
przebudowa budynków, których budowa wymaga uzyskania decyzji o pozwoleniu na budowę oraz budynków mieszkalnych |
NIE |
z wyłączeniem przebudowy przegród zewnętrznych i elementów konstrukcyjnych |
|
7. |
przebudowa polegająca na dociepleniu budynków o wysokości nieprzekraczającej 12 m |
NIE |
|
|
8. |
przebudowa urządzeń budowlanych |
NIE |
|
|
9. |
remont budowli, których budowa nie wymaga uzyskania pozwolenia na budowę |
NIE |
|
|
10. |
remont budynków, których budowa wymaga pozwolenia na budowę |
NIE |
z wyłączeniem ścian zewnętrznych i elementów konstrukcyjnych |
|
11. |
remont urządzeń budowlanych |
NIE |
z wyłączeniem budynków mieszkalnych wielorodzinnych, użyteczności publicznej i zamieszkania zbiorowego |
|
12. |
instalowanie krat na obiektach budowlanych |
NIE |
|
|
13. |
instalowanie pomp ciepła, wolno stojących kolektorów słonecznych, urządzeń fotowoltaicznych o mocy zainstalowanej nie większej niż 150 kW |
NIE |
do urządzeń fotowoltaicznych o mocy zainstalowanej elektrycznej większej niż 6,5 kW stosuje się obowiązek uzgodnienia z rzeczoznawcą do spraw zabezpieczeń przeciwpożarowych, projektu tych urządzeń i zawiadomienia o zakończeniu instalacji Państwowej Straży Pożarnej |
|
14. |
instalowanie wewnątrz i na zewnątrz użytkowanego budynku instalacji |
NIE |
z wyłączeniem instalacji gazowej |
W pozostałych, czyli niewymienionych w ustawie przypadkach, decyzja o pozwoleniu na budowę stanowi podstawę do rozpoczęcia i prowadzenia budowy lub robót. Będzie to dotyczyło przykładowo modernizacji obiektu budowlanego polegającej na dobudowie do istniejącego budynku szybu windowego dla dźwigu osobowego. W rozumieniu przepisów ustawy Prawo budowlane przypadek ten będzie stanowił rozbudowę budynku, którą można wykonywać jedynie na podstawie pozwolenia na budowę. Ponadto w przepisach przewidziano także sytuacje, gdy bez względu na zakres robót budowlanych konieczne będzie przeprowadzenie stosownych procedur administracyjnych. Taką decyzję będzie należało uzyskać dla przedsięwzięć budowlanych realizowanych na obiekcie budowlanym wpisanym do rejestru zabytków. Natomiast dokonanie skutecznego zgłoszenia robót będzie niezbędne przy planowanych robotach budowlanych w budynku zlokalizowanym na obszarze wpisanym do rejestru zabytków. Co istotne, w sytuacji jakichkolwiek robót budowlanych prowadzonych na zabytkowym obiekcie rejestrowym lub obiekcie znajdującym się na zabytkowym terenie rejestrowym wymagana będzie zgoda wojewódzkiego konserwatora zabytków na ich przeprowadzenie, a dopiero potem – przeprowadzenie stosownej procedury administracyjnej przed organem administracji architektoniczno-budowlanej, czy to związanej z uzyskaniem decyzji o pozwoleniu na budowę, czy dokonania zgłoszenia robót. Będą to jednak jednostkowe przypadki.
Podstawowym obowiązkiem inwestora jest dokonanie zgłoszenia przed terminem zamierzonego rozpoczęcia robót budowlanych. Organ administracji architektoniczno-budowlanej, w terminie 21 dni od dnia doręczenia zgłoszenia do siedziby organu, może z różnych powodów wnieść sprzeciw w drodze decyzji administracyjnej. Do wykonywania robót budowlanych zgłaszający może przystąpić, jeżeli organ nie wniósł sprzeciwu w określonym w ustawie Prawo budowlane terminie. Przyjęcie zgłoszenia nie wymaga potwierdzenia pisemnego. Należy pamiętać, że w przypadku nierozpoczęcia wykonywania robót budowlanych przed upływem 3 lat od określonego w zgłoszeniu terminu ich rozpoczęcia, przystąpienie do realizacji tych robót będzie wymagało ponownego zgłoszenia i przeprowadzenia całej procedury od nowa. Jeżeli rozpoczęcie robót budowlanych nastąpi bez skutecznego zgłoszenia lub po upływie 3 lat od określonego pierwotnie w zgłoszeniu terminu ich rozpoczęcia, prowadzenie tych robót będzie stanowiło samowolę budowlaną ze wszystkimi tego konsekwencjami.
W przypadku złożenia wniosku o wydanie pozwolenia na budowę inwestor składa dwie części projektu budowlanego (czyli projekt zagospodarowania działki lub terenu oraz projekt architektoniczno-budowlany) wraz z pozostałymi wymaganymi załącznikami wymienionymi w ustawie. Po złożeniu wniosku organ administracji architektoniczno-budowlanej weryfikuje zgodność złożonej dokumentacji z przepisami prawa miejscowego oraz w zakresie zagospodarowania działki lub terenu z regulacjami techniczno-budowlanymi oraz kompletność projektu budowlanego i załączników i dokonuje sprawdzenia osób projektujących pod kątem posiadanych uprawnień budowlanych i przynależności do właściwej izby zawodowej. W sytuacji gdy organ administracji architektoniczno-budowlanej stwierdzi naruszenia w zakresie przedłożonej dokumentacji, w drodze postanowienia nakłada obowiązek usunięcia wskazanych nieprawidłowości, określając termin ich usunięcia, a po jego bezskutecznym upływie wydaje decyzję o odmowie zatwierdzenia projektu i udzielenia pozwolenia na budowę. Jeżeli wniosek jest kompletny, a projekt wykonany prawidłowo, wydawana jest decyzja o pozwoleniu na budowę. Podobnie jak w przypadku skutecznego zgłoszenia – decyzja ta wygasa, jeżeli budowa nie została rozpoczęta przed upływem 3 lat od dnia, w którym stała się ona ostateczna lub budowa została przerwana na czas dłuższy niż 3 lata. Prowadzenie robót bez uzyskania decyzji o pozwoleniu na budowę lub po jej wygaśnięciu będzie stanowiło samowolę budowlaną, której legalizacja może się wiązać z dużymi kosztami lub koniecznością dokonania rozbiórki już zakończonych robót.
Co niezwykle istotne, każde, nawet najmniej skomplikowane roboty należy prowadzić zgodnie z zasadami bezpieczeństwa i higieny pracy, a osoby je wykonujące powinny mieć do tego odpowiednie kwalifikacje i wiedzę. W przypadku robót bardziej skomplikowanych, wykonywanych na wysokości, a w szczególności tych prowadzonych na podstawie decyzji o pozwoleniu na budowę, inwestor powinien zapewnić nadzór kierownika budowy.
Podsumowanie
Wszystkie obiekty budowlane, a w szczególności budynki przeznaczone na pobyt ludzi, wymagają szczególnej staranności oraz dbałości ze strony właściciela i zarządcy. Dla komfortu ich eksploatacji nie będzie ważne tylko i wyłącznie utrzymywanie ich w należytym stanie technicznym, choć z punktu widzenia bezpieczeństwa będzie istotne. Dokonywanie renowacji i modernizacji niejednokrotnie również ma na celu zmniejszenie kosztów eksploatacyjnych –
np. termomodernizacja powinna przynieść oszczędności w wydatkach na ogrzewanie. Z punktu widzenia osób korzystających z obiektów budowlanych nie mniej ważnym aspektem ich eksploatacji jest wygoda podczas wykonywania codziennych obowiązków i w czasie wolnym.
Źródła:
- Ustawa z dnia 7 lipca 1994 r. Prawo budowlane (tekst jednolity: Dz. U. z 2023 r. poz. 682 z późniejszymi zmianami).
- Ustawa z dnia 29 sierpnia 2014 r. o charakterystyce energetycznej budynków (tekst jednolity: Dz. U. z 2021 r. poz. 497 z późniejszymi zmianami).
- Rozporządzenie Ministra Spraw Wewnętrznych i Administracji z dnia 16 sierpnia 1999 r. w sprawie warunków technicznych użytkowania budynków mieszkalnych (Dz. U. Nr 74, poz. 836 z późniejszymi zmianami).
- Norma PN-EN 1990 „Eurokod. Podstawy projektowania konstrukcji”.
- „Problematyka określania stopnia zużycia technicznego budynków wielkopowierzchniowych”, mgr inż. Jacek Dębowski, „Czasopismo techniczne A”, Wydawnictwo Politechniki Krakowskiej,2007 r.
- „Aspekty trwałości i wpływu na środowisko w projektowaniu konstrukcji betonowych”, prof. dr inż. Andrzej Ajdukiewicz, „Przegląd budowlany” 2/2011.
- Stanowisko GUNB „W sprawie pojęcia modernizacja”, www.gunb.gov.pl.
Przypisy
- Ustawa z dnia 7 lipca 1994 r. Prawo budowlane (t.j. Dz. U. z 2023 r., poz. 682 z późn. zm.).
- Rozporządzenie Ministra Spraw Wewnętrznych i Administracji z dnia 16 sierpnia 1999 r. w sprawie warunków technicznych użytkowania budynków mieszkalnych (Dz. U. z 1999 r., Nr 74, poz. 836 z późn. zm.).
- Ustawa z dnia 29 sierpnia 2014 r. o charakterystyce energetycznej budynków (t.j. Dz. U. z 2021 r. poz. 497 z późn. zm.).
.gif)